Совместно с экспертом отвечаем на популярные вопросы, связанные с едой: почему сосиски лопаются при варке вдоль, а хлебцы калорийнее хлеба?
Обо всём этом — исключительно с позиции науки. Просто, интересно и по существу.
Эксперт:
Святослав Соколов — магистр ядерной физики, научный блогер. Ведёт свой канал на YouTube «Как бы школа», где даёт лекции по физике «за чашечкой чая».
Мы любим Святослава за доступный язык, необычные темы и качественный материал.
Святослав Соколов,
блогер
Почему бутерброд всегда падает маслом вниз
А вы уверены, что бутерброды всегда падают маслом вниз? В конце концов, люди склонны запоминать именно плохие события. К сожалению, эксперименты эксперименты это подтверждают. Но ни аэродинамика, ни смещение центра тяжести здесь ни при чём. В отличие от человеческого роста.
В 1996 году Шнобелевскую премию в области физики получил Р. Мэттьюз из университета Эстона за работу «Падающий бутерброд, закон Мерфи и мировые постоянные».
В ней он разобрал механику падающего блюда и пришёл к интересным выводам. Из-за того, что бутерброды на столе обычно лежат маслом вверх, при падении с края стола объект не успевает совершить полный разворот на 360 градусов. Поэтому при свободном падении кусок хлеба длиной 10 сантиметров упадёт с края стола высотой 75 сантиметров маслом вниз.
Формулы показали несколько решений проблемы. Во-первых, если придать бутерброду вертикальную скорость выше 2-х метров в секунду, он не успеет зацепиться за стол и перевернуться. А во-вторых, мы можем начать делать столы высотой 3 метра либо уменьшить длину бутербродов до 2-х сантиметров, что довольно непрактично.
Поэтому, к сожалению, человечество обречено на бутерброды, падающие маслом вниз.

Почему вареники поднимаются, когда сварились
Чтобы понять, почему вареники всплывают, когда сварены, нужно разъяснить, почему они тонут, пока заморожены.
Для упрощения мы рассмотрим не настоящий вареник, а его идеальную модель: предположим, он имеет форму кирпича с абсолютно упругой и тонкой оболочкой. Внутри него смесь воды, жира и сухих веществ — составляющих сыра, помидора, теста и базилика.
Бросим его в кастрюлю. Тело имеет массу, поэтому сила гравитационного притяжения потянет его ко дну.
В воде на замороженный вареник начнёт действовать давление жидкости. Причём чем глубже он погрузится, тем больший столб воды получится над ним — и тем больше будет это давление.
Из-за того, что вареник имеет некоторый объём, его нижняя часть находится глубже, чем верхняя. Поэтому давление воды на нижнюю стенку выше. Разность этих давлений образует результирующую силу, направленную вверх. Эта сила известна как сила Архимеда. Чем больше объём тела, тем больше разность давлений на его поверхности и выталкивающая сила Архимеда.

Отношение силы Архимеда и силы тяжести определяет будет тело тонуть или всплывать. Наш вареник слишком маленький и слишком тяжёлый, поэтому он идёт ко дну кастрюли.
Кастрюля при этом стоит на огне, который может достигать 1000 градусов. Но не беспокойтесь, блюдр оберегает вода. При нагреве до 100 градусов она превращается в пузырьки пара. Пузырьки всплывают и отводят лишнее тепло из кастрюли. Единственное, чего не стоит допускать, — это контакта вареника с дном кастрюли, ведь он может пригореть ко дну. Поэтому не забывайте помешивать.
В процессе варки содержимое вареника нагревается. При этом жир расширяется, а замороженная вода сперва плавится, а затем превращается в пар. Пар надувает упругую оболочку продукта, как воздушный шарик. При этом его объём значительно увеличивается, как и выталкивающая сила Архимеда. Поэтому, как только сила Архимеда становится больше силы тяжести, вареник всплывает. Если он, конечно, не приклеился ко дну.
Почему хлебцы калорийнее хлеба
До половины массы хлеба может составлять вода, которая не имеет калорий.
Хлебцы проходят процесс высушивания, который убирает из них всю влагу. Поэтому их калорийность на 100 граммов продукта выше, чем у хлеба.
Если рассматривать весь объём хлеба, то по большей части он состоит из воздуха, заключённого в пузырьках теста, поэтому даже визуально 100 граммов хлеба воспринимается как больший объём пищи, чем 100 граммов хлебцев. Хотя калорийность последних гораздо выше.
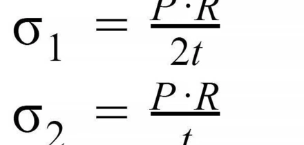
Почему сосиски лопаются при варке вдоль, а не поперёк
Как и в случае с пельменем, рассмотрим «идеальную сосиску». Пусть она будет выглядеть как тонкостенный цилиндр, заполненный смесью воды, жира и сухих веществ.
По мере варки вода в сосиске начнет испаряться и пар будет давить на её внутренние стенки. Согласно закону Паскаля, давление будет передаваться в каждую точку без изменений во всех направлениях.
Поэтому стенки сосиски при варке испытывают два типа напряжения: продольное и поперечное.

Для расчёта этих напряжений можно воспользоваться формулой Барлоу. Она в основном используется для расчёта напряжений в трубах.

P — давление,
R — радиус сосиски,
t — толщина стенки.
Как можно видеть, продольное напряжение в сосисках в 2 раза меньше, чем поперечное. Именно поэтому они рвутся вдоль, а не поперёк. По той же причине банка колы в морозилке или водопроводные трубы зимой рвутся вдоль. Особенно страшны подобные разрывы в трубах газопровода, потому что они могут протянуться на многие километры.
Немецкие студенты часто называют эту формулу «сосисочной формулой» (Bockwurstformeln), чтобы легче было запомнить, какое из напряжений больше.

Почему печенье в кипятке размокает быстрее, чем в холодной воде
Печенье в основном состоит из муки, крахмала, жира, сахаров и соли. В процессе выпечки вода из продукта испаряется, при этом образуется множество пустот. Отчасти поэтому печенье становится таким хрупким.
При опускании печенья в стакан вода поднимается по этим пустотам за счёт капиллярного эффекта. У горячей воды динамическая вязкость в 3 раза меньше, чем у холодной, поэтому она поднимается по капиллярам гораздо быстрее.
Также высокая температура жидкости позволяет гораздо быстрее растопить и растворить основные связующие элементы — жиры, сахар и соль. Поэтому в горячей воде печенье размокает в разы быстрее.
Как правильно резать колбасу: двигать ножом или продавливать
Попробуйте разорвать лист бумаги, взяв его за края и потянув в противоположные стороны. Это непросто. Но если надорвать лист с краю, процесс пойдёт гораздо легче.

Этот пример раскрывает секрет резки.
Если посмотреть на кромку ножа в микроскоп, вы увидите множество зазубрин. Эти зазубрины работают как пила, когда мы ведём нож по оболочке колбасы. Каждый зубчик создаёт множество «разрывов», которые затем становятся длиннее и глубже. После того как эти разрывы появились, углублять их так же просто, как разрывать надорванный лист бумаги.
Просто давить на оболочку колбасы ножом — это использовать его как обычный клин. Маленькая площадь режущей кромки оказывает огромное давление на место контакта, необходимо сильно деформировать всю оболочку колбасы (и колбасу внутри), перед тем как образуется микроразрыв, который приведёт к разрезу.
Когда вы пытаетесь продавить нож сквозь колбасу, вы прикладываете большую силу, но разрезаете совсем чуть-чуть. Водя нож туда-сюда мы прикладывать силу по-меньше, а дистанция, которую проходит нож, увеличивается. Это можно сравнить с подъёмом из перехода по лестнице и пандусу: первый короче, но сложнее, а по второму идти легче, но дальше.
Почему газы поднимаются вверх, когда впервые открываешь бутылку газировки
В газированных напитках содержится углекислый газ. Он растворяется в воде, образуя угольную кислоту.
CO2+H2O ⇋ H2CO3
Угольная кислота находится в равновесии с углекислым газом. Это означает, что реакция происходит одновременно в обе стороны. То есть углекислый газ растворяется в воде, образуя кислоту, а она в свою очередь разлагается на воду и углекислый газ. В закрытой бутылке скорости этих процессов одинаковы.
При аккуратном открытии лимонада давление внутри неё падает до атмосферного и равновесие сильно смещается в сторону образования углекислого газа. При нормальных условиях через некоторое время практически все пузырьки покинут ёмкость.
Если внимательно посмотреть на открытую бутылку, можно увидеть, что пузырьки углекислого газа не образуются где попало, а исключительно в гетерогенных центрах — неоднородностях в жидкости — на внутренней поверхности ёмкости, пылинках, осадке или других пузырьках.
Каждый, кто закидывал ментос в лимонад, знает, насколько быстрее пойдёт выделение углекислого газа. Поверхность ментоловой конфеты неоднородна и предоставляет множество гетерогенных центров, что ускоряет реакцию. Того же эффекта можно добиться, засыпав в бутылку сахар, соль или простой песок.
Так почему, если перед открытием бутылки лимонада её сильно потрясти, газ старается покинуть бутылку быстрее, а зачастую вместе с напитком?
После встряхивания в лимонаде образуется множество пузырьков, которые становятся новыми гетерогенными центрами. При открытии бутылки на этих пузырьках начинают образовываться ещё одни пузырьки, которые, в свою очередь, становятся новыми центрами. Получается цепная реакция. А из-за того что давление в бутылке упало, весь этот газ начинает расширяться, буквально выдавливая из-под крышки драгоценный напиток.

Почему смузи не расслаивается
Кто же вам такое сказал? Расслоение в жидкостях происходит из-за разной плотности. Лёгкие вещества, такие как растительные масла, оказываются наверху, а более тяжёлые — вода, нерастворимые клетчатка и маленькие кусочки фруктов — тонут. Если оставить смузи в покое на долгое время, оно в любом случае расслоится. Правда, не так наглядно, как хотелось бы.
Для того чтобы препятствовать этому процессу, смузи делают более густым — это увеличивает вязкость жидкости и замедляет процесс сепарации.
А ещё можно использовать эмульгаторы. Они снижают поверхностное натяжение на границе раздела фаз. Натуральные эмульгаторы — агар-агар, крахмал, пектин и семена чиа.
Другое дело детские творожки. При их изготовлении также используют крахмал и пектин — загустители, которые придают творогу и начинке вид желе. Поэтому при транспортировке и долгом хранении продукт остается в первозданном виде и не превращается в кашицу.
Как работает вакуумная упаковка и помогает ли она сохранить свойства и вкус продукта
Мы живём в «океане воздуха», который создаёт давление, аналогично воде на поверхность всего, что нас окружает. Чтобы вы представили, насколько оно большое: на каждый квадратный сантиметр поверхности нашего тела давит примерно один килограмм силы. При средней человеческой площади тела в 1,7 квадратных метра на нас давит 17 тонн атмосферы. Однако человеческий организм эволюционировал и справляется с такими нагрузками.
Всю эту невероятную силу можно направить на сохранение продукта — например, сервелата из индейки с говядиной в нарезке. Из вакуумной упаковки откачан воздух, поэтому атмосферное давление снаружи пытается «раздавить» еду. Удаление воздуха препятствует развитию аэробных бактерий и плесени, а также препятствует испарению влаги из продукта.
Ознакомьтесь с каналом эксперта поближе и поддержите активностью интересные ролики.
Почему готовить в духовке полезнее, чем жарить на сковороде
При температурной обработке мяса мы преследуем сразу несколько целей. Во-первых, необходимо обеззаразить продукт. Во-вторых, смягчить его, то есть сделать более удобным для пищеварения. И, в-третьих, улучшить вкусовые качества за счёт подрумянивания — в физике это реакция Майяра.
Первые две цели можно достичь при температуре всего 75 градусов цельсия. Реакция Майяра происходит при температуре порядка 140 градусов — гораздо выше температуры кипения воды.
Что происходит с утёнком табака на сковородке? Между сковородкой и мясом наливают масло. Масло играет роль теплопроводящего состава, который заполняет пустоты между поверхностью птицы и сковороды. Так как теплопроводность рафинированного масла больше теплопроводности воздуха, теплообмен происходит быстрее. У воды теплопроводность ещё выше, но для образования румяной корочки — реакции Майяра — необходимо нагреть поверхность утки выше 140 градусов. Именно поэтому невозможно обжарить утку на воде, только потушить.
Разогретое масло нагревает мясо, и этот процесс происходит неравномерно. Когда нижний слой уже начал подгорать, верхние слои могут всё ещё находиться при комнатной температуре (если вы кинули утёнка на плиту сразу из холодильника, будет ещё хуже).
Как вы видите, это сложная комбинация процессов, которые можно контролировать только своевременным переворачиванием, поливанием масла сверху и большим опытом в готовке.
Всего этого можно избежать, использовав духовку. В духовке газ нагревает воздух, который находится внутри. Часть нагретого воздуха просачивается наружу, свежий холодный воздух поступает извне. То есть происходит естественная конвекция воздуха.
В современных электрических духовках с вентилятором процесс конвекции ещё лучше, к тому же внутри всегда поддерживается заданная температура.
Таким образом, мясо и противень под ним нагреваются воздухом определённой температуры, что позволяет добиться более равномерного процесса приготовления. Причём воздух спокойно может нагреться выше 100 градусов — поэтому утёнок табака хорошо подрумянится.